install.packages(ggplot2)
library(ggplot2)
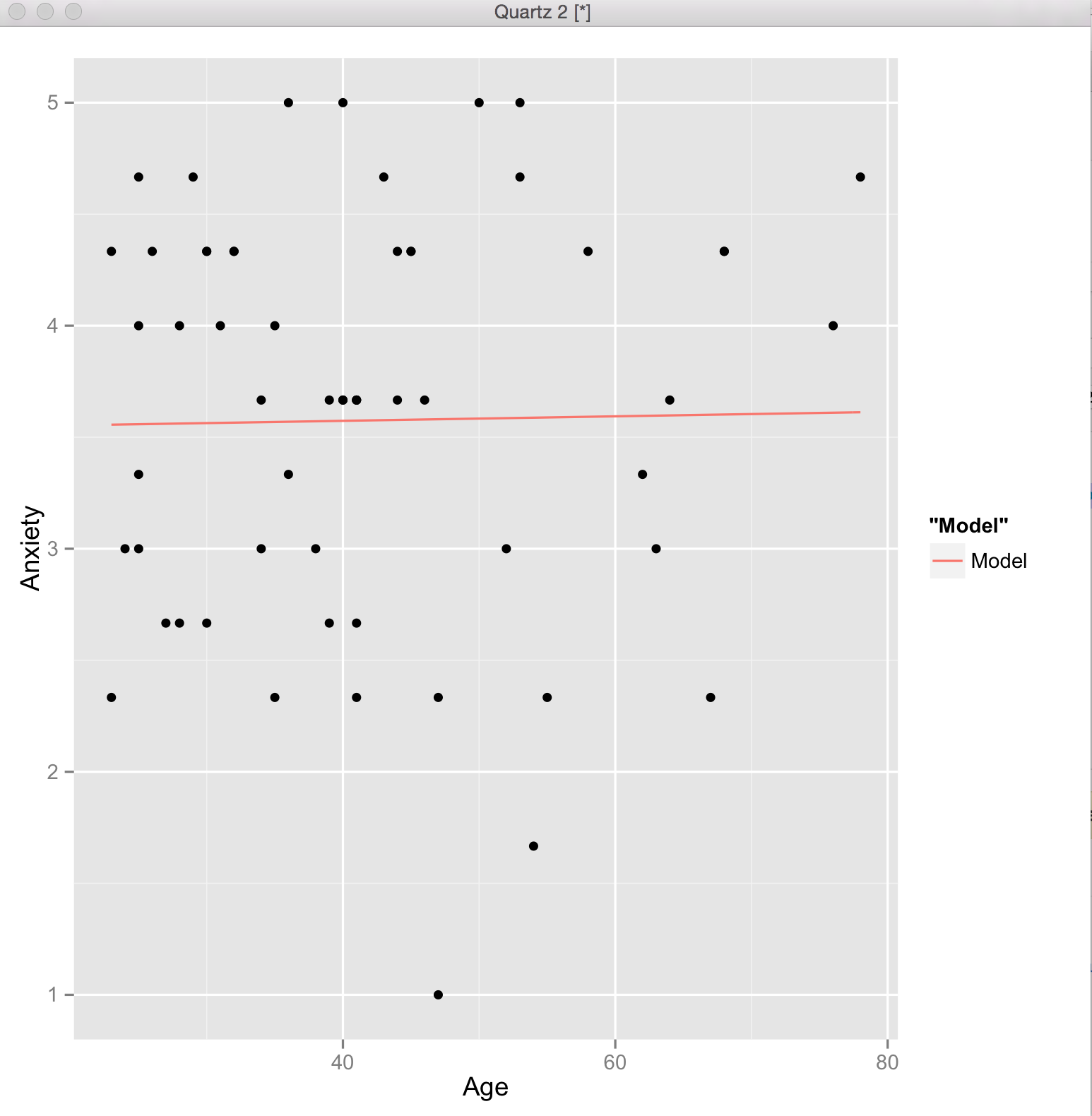
ggplot(AgeAnxietyNoOutliers, aes(x=Age, y=Anxiety)) + stat_function(fun=function(x) 3.533 + 0.001012*x, geom="line", aes(colour="Model")) + geom_point()
This file contains hidden or bidirectional Unicode text that may be interpreted or compiled differently than what appears below. To review, open the file in an editor that reveals hidden Unicode characters.
Learn more about bidirectional Unicode characters
| package frojasg.marketprices | |
| import kotlinx.coroutines.* | |
| import kotlinx.coroutines.channels.Channel | |
| import kotlinx.coroutines.channels.ReceiveChannel | |
| import kotlinx.coroutines.channels.ticker | |
| import kotlinx.coroutines.flow.* | |
| import java.time.Clock | |
| import java.time.Instant | |
| import java.lang.IllegalStateException |
This file contains hidden or bidirectional Unicode text that may be interpreted or compiled differently than what appears below. To review, open the file in an editor that reveals hidden Unicode characters.
Learn more about bidirectional Unicode characters
| def purchase(money, card_nonce, options={}) | |
| def authorize(money, card_nonce, options={}) | |
| def capture(ignored_money, txn_id, ignored_options={}) | |
| def refund(money, txn_id, options={}) | |
| def void(txn_id, options={}) | |
| def verify(card_nonce, options={}) | |
| def store(card_nonce, options = {}) | |
| def update(customer_id, card_id, options = {}) | |
| def update_customer(customer_id, options = {}) | |
| def unstore(card_id, options = {}, deprecated_options = {}) |
This file contains hidden or bidirectional Unicode text that may be interpreted or compiled differently than what appears below. To review, open the file in an editor that reveals hidden Unicode characters.
Learn more about bidirectional Unicode characters
| require 'active_merchant_square' | |
| # Get your login and password by going to: https://connect.squareup.com/apps | |
| credentials = { | |
| login: 'APPLICATION_ID', | |
| password: 'APPLICATION_SECRET', | |
| # How to get your location ID, see: https://docs.connect.squareup.com/articles/faq-lookup-my-location-id | |
| location_id: 'LOCATION_ID', | |
| } |
This file contains hidden or bidirectional Unicode text that may be interpreted or compiled differently than what appears below. To review, open the file in an editor that reveals hidden Unicode characters.
Learn more about bidirectional Unicode characters
| https://www.dropbox.com/s/niswxlguq9saxxp/presentacionv1.pdf?dl=0 |
This file contains hidden or bidirectional Unicode text that may be interpreted or compiled differently than what appears below. To review, open the file in an editor that reveals hidden Unicode characters.
Learn more about bidirectional Unicode characters
| trait Generator[+T] { | |
| self => | |
| def generate: T | |
| def map[S](f: T => S): Generator[S] = new Generator[S] { | |
| def generate = f(self.generate) | |
| } | |
| def flatMap[S](f: T => Generator[S]): Generator[S] = new Generator[S] { | |
| def generate = f(self.generate).generate |
I hereby claim:
- I am frojasg on github.
- I am frojasg (https://keybase.io/frojasg) on keybase.
- I have a public key whose fingerprint is 0C46 D7E1 11DC 9E24 1145 7C39 FE4E C7B9 FD0B FBD0
To claim this, I am signing this object:
This file contains hidden or bidirectional Unicode text that may be interpreted or compiled differently than what appears below. To review, open the file in an editor that reveals hidden Unicode characters.
Learn more about bidirectional Unicode characters
| mport java.io.*; | |
| import java.util.*; | |
| class Main { | |
| public static void main(String[] args) throws IOException { | |
| BufferedReader br = | |
| new BufferedReader(new InputStreamReader(System.in)); | |
| String line = br.readLine(); | |
| int cases = Integer.parseInt(line); |
This file contains hidden or bidirectional Unicode text that may be interpreted or compiled differently than what appears below. To review, open the file in an editor that reveals hidden Unicode characters.
Learn more about bidirectional Unicode characters
| diff --git a/Gemfile b/Gemfile | |
| index b235c52..2cfee39 100644 | |
| --- a/Gemfile | |
| +++ b/Gemfile | |
| @@ -9,6 +9,7 @@ group :development, :test do | |
| gem "sinatra", "~> 1.3" | |
| gem "json" | |
| gem "faraday", "~> 0.8.4" | |
| + gem "webmock" |
This file contains hidden or bidirectional Unicode text that may be interpreted or compiled differently than what appears below. To review, open the file in an editor that reveals hidden Unicode characters.
Learn more about bidirectional Unicode characters
| public class Matrix { | |
| public static void main(String [] args){ | |
| int n = Integer.parseInt(args[0]); | |
| int[][] A = new int[n][n]; | |
| int count = 0; | |
| for(int i = 0; i< n; i++) { | |
| for(int j = i, z=0; j>=0 && z <= i; j--, z++){ | |
| if(i%2==1) { | |
| A[z][j]=count; |
NewerOlder
