- One submission that is supposed to be a complete paper but a draft
- A full paper
Preliminary steps on team project:
Work breakdown on topics to cover
Grading policy:
- Rubric in survival guide
Rubrics to grade essays: More of a holistic grade
Late policy:
If the essay is not there in discussion it is late for one day.
Due in discussion next week:
- Problem statement, background, outline, and references in the ethical case study
- In class library assignment
- Outline is a brief skeleton
- 5 references
First draft due Week 3 Final draft due Week 5
Week 7 First Hardin submission Week 9 Final Hardin submission
Super cheap and small and competitive, but it blew up if it was hit too hard.
Ford found out about it, and did an analysis and found out how expensive it would be and did a cost benefit analysis of the price of recall vs the price of medical bills and funeral costs.
Recall cost was more expensive so they didn't recall the cars. Ford said they would save America money by not recalling.
The metal strut inside the heart valve would break and would kill people.
Your background shapes the lenses through which you view the world.
Some sources of morality:
- Personal ideology
- Government
- Company
- Parents
- Religion
- Media
- Education
Some sources of ethical theory:
Whoever organizes a method of thinking about morality into a framework for testing.
Ethical Theory
- Normative (perscriptive) ethics (what we are covering)
- How should people act?
- Meta ethics
- What do people think is right
- Applied ethics
- How do we take on moral knowledge and put it into practice? How did we start developing rules?
- Meta-ethics
- What does ethics even mean?
Normative Ethics:
- Virtue Ethics
- Emphasis on being as opposed to doing
- Be a loyal person, be a loving person
- Deontology
- Judges an action based on set of rules
- Ignores all consequences to the rules
- Consequentialism
- Rules don't exist, only results matter
- Judge an action based on the outcome of the action
Example:
Frank is going to POW! and someone RIPs.
Virtue Ethics:
- Going to look at Frank himself, his motivations
Deontology:
- Look at the action he is doing (the POW!)
Consequentialism:
- Look at the result of the action
Example:
Is it moral to lie?
- For consequentialism, as long as the result is good it is moral to lie.
- For duty ethics, it is never moral to lie. So it isn't moral.
- For virtue ethics, if you are a bad person it isn't moral.
Human characteristics that are worth striving for that affect actions
Honesty, courage, loyalty, joy
Identify and mimic characteristics a moral person embodies.
The evaluations of actions is dependent on ethical judments about the inner life of the agents who perform those actions
There are primary virtues and secondary virtues
NOTE: IMPORTANT FOR PAPER
If you lose the primary virtues, ANYTHING is justifiable
Example: Integrity
If you lose the secondary, you just aren't very fun to be around
Example: Joy, Love
Vices (counter to virtues)
Virtue Ethics could either be Virtue promotion or Vice prevention
- What constitutes a virtue?
- Who gets to say way is a virtue?
- Can't fully know heart behind action
Hard to use in a quantitiative analysis
Virtue ethics applied to Ford Pinto analysis
Have to know the heart and the motivation of the CEO or engineers who made the Ford Pinto, which is hard.
An action is morally right if it is in agreement with a moral rule/norm that is applicable independent of the consequences of the action
Rules that prescribe what concrete actions are required or forbidden in order to achive/realize a value
Immanuel Kant formulated the two Categorical Imperatives of Kantianism (a type of deontology)
Hypothetical norms: Norms that are applied to circumstances
Act only on the maxim (rule) which you can at the same time will that it should become a universal law.
- Super smart version of "love your neighber as yourself"
Act as to treat humanity, whether in your own person on in that of any other, in every case as an end, never as a means.
- Humans should never be a means but an end
- Autonomy: right to govern yourself
To argue universality principle, you must figure out a maxim that is being used and show that it doesn't apply to the universality principle.
Example: Ford Pinto
The engineers were following the rule/maxim that it is acceptable to put humans in danger if it is the cheaper option.
Take that rule and universalize it (if every person followed this rule what would happen?)
To argue reciprocity principle use autonomy, find out when somebodies autonomy is stolen. Ford didn't tell the people that the cars were bad and stole their right/autonomy to make a decision about the car as a means to make money.
If consumer if fully informed the reciprocity principle doesn't apply.
You end up blindly following rules without regard to the consequences.
The trolley problem: Trolley is broken, 5 people tied up on your track, one person on other track. In deontology you would never change the Trolley.
An act is ethical based on the consequences of the decision alone
Utilitarianism
- Actions are judged by the amount of pleasure and pain they bring about. An action that brings the greatest happiness to the greatest number of people is ethical.
What are values?
- Lasting convictions or matters that people feel should be strived for in general, not just for themselves.
- Goals worth striving for:
- More than just personal preference
- Safety, freedom, equality
- What is happiness?
- Do the ends REALLY justify the means?
- How do you gather all of the data on how many people are happy?
- The ends matter more than the means (you would always pull the trolley and kill the person)
- According to Ford, the decision not to recall the Ford Pinto was making people more happy
Rightly placed Truth Claims are where your essay develops its strength and purpose
- Too many or too few make for WEAK papers
- This is for your entire paper, not just your solution section
Research/Facts -> Logical step by step interpretation -> Truth claim
- Identify 2 to 4 primary virtues that you see violated
- Use multiple examples of this violation to develop the notion of a "pattern" or "default" bent of the subjects heart
- Conclude violation of virtue ethics
- Universality
- Do not create too specific maxims (engineer says its ok to build a dam that will break)
- Maxims must be logical based on the progression of events described (engineer says its ok to build a dam on unstable foundations)
- Hypothetical universilzation of maxim is necessary
- Arguments with Reciprocity
- Identify when and where autonomy was stolen
- Describe the end the humands are bing used for
- Where can I use "duty"
- duty
- must find something concrete to references
- Company promise, engineer's job description, etc.
- Do NOT just say engineers are "supposed to" make stuff safe
- Show the moment when the line is crossed and apply it
- duty
- Must consider the decision from the viewpoint of the person in the story
- The horrible outcome we know about can only support the list of RISKS
- It is NOT a confirmation of the Costs part of the cost-benefit analysis
- Severity or certainty of cost is important.
- Convince that the costs were TOO risky (in the viewpoint of the decision maker)
- based on the severity of the cost
- based on the likelihood of the cost
- Not that "they ended up spending a billion dollars so that was a cost"
Example: Ford Pinto
In the 1980s, Ford wanted to make a car that was competitive
- Status Quo - they made a Ford Pinto
- Destabilizing moment - they placed the gas take too close to the bumper which would combust
- Consequences - This effect killed thousands of people and led to millions of dollars in recalls
- Solution - car manufactures should use ethical frameworks to car testing
Less about what happened, more about why they did it.
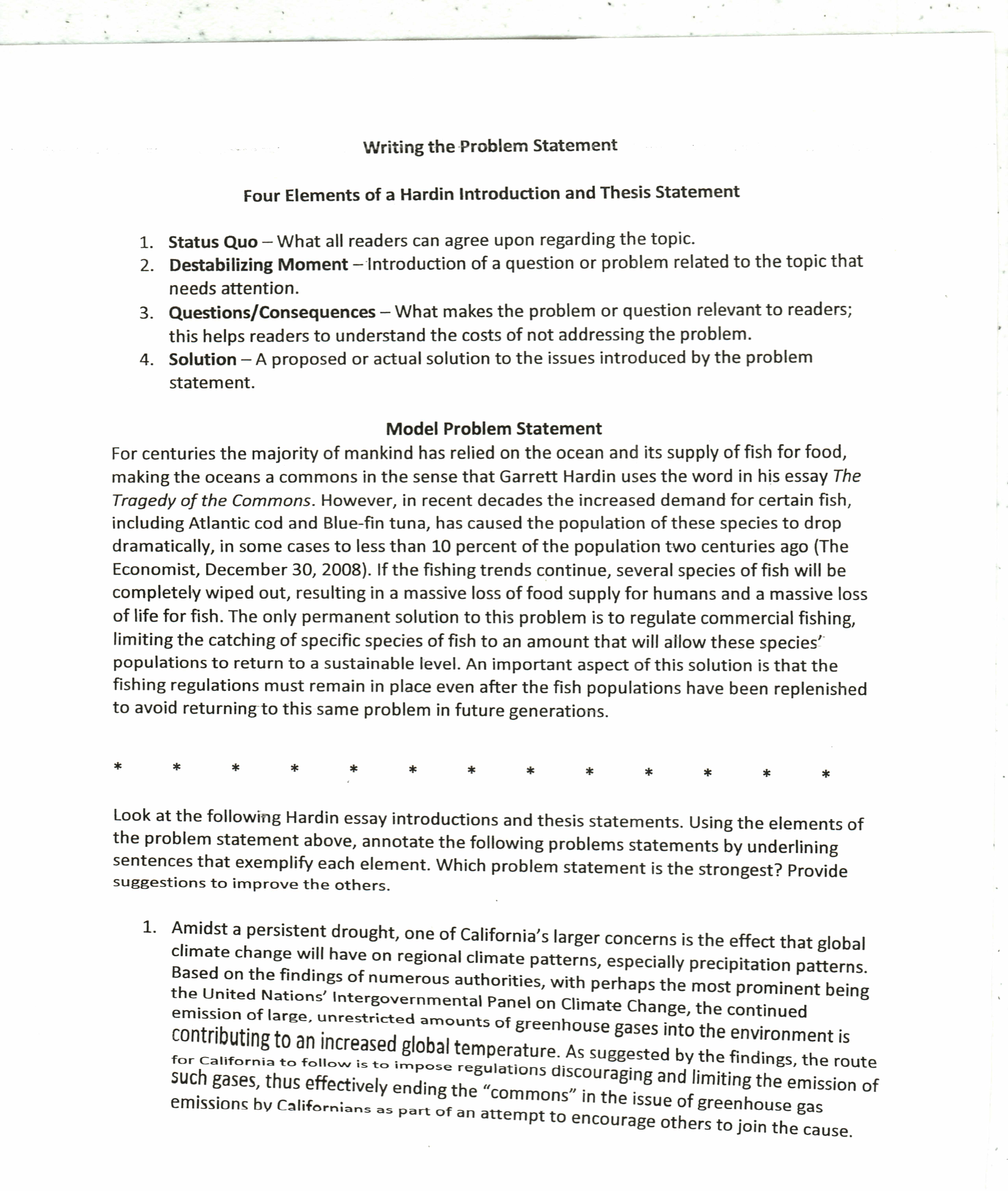
Model problem statement broken down:
- Status quo - Words from For to Commons
- Destabilizing moment - However to If
- Consequences - If to Fish
- Solution - down to the bottom
Abstract should stand alone with the paper and the paper should stand alone with the abstract so some things will be duplicated.
Things to turn in:
- Problem statement
- Background
- Outline
- 5 references
For problem statement: 5 copies For the other things (problem statement, etc): 2 copies
Read page 16 of the manual to see how to write it.
First team project assignment is in Week 3 (Outline, Bibliography)
The whole of opinions, decisions, and actions with which people individually or collectively, express what they think is good or right.
The morality of a tribe might be different from our morality.
The systematic reflection on what is moral.



