Für den Rot-Schwarz-Baum haben wir uns entschlossen, eine neue statische Methode test innerhalb der Klasse RedBlackTree zu entwerfen. Diese überprüft mithilfe verschiedener vordefinierten Bäumen alle Funktionen auf Richtigkeit.
Diese Überprüfungen sind unterteilt in:
- Überprüfen ob die Schlüssel an der richtigen Stelle eingefügt werden
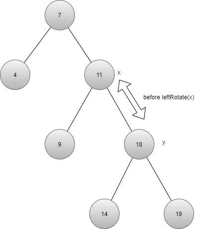
- Überprüfen ob die Rotationen korrekt implementiert sind
- Überprüfen der Eigenschaften eines Rot-Schwarz-Baumes.
